

“Impacto Súbito. Revista Digital del IES Joaquín Turina” nace como un espacio dinámico y abierto, creado por y para la comunidad educativa de este instituto sevillano del barrio de San Pablo, con el propósito de expresar ideas, compartir conocimientos y experiencias y dar visibilidad a inquietudes, logros y talentos.
El título de esta revista digital recupera y rinde homenaje a la publicación impresa Impacto Súbito, que se editó en nuestro centro durante la década de los años 90, y que hoy renace en formato digital para seguir dando voz a nuestra comunidad educativa.
En esta nueva etapa, nuestra revista se caracteriza por su formato digital e interactivo, que permite al lector interactuar con los contenidos de forma contextualizada. Su carácter accesible, inmediato y enriquecido con recursos multimedia ofrece una experiencia más cercana y dinámica.
Participar en este proyecto es una oportunidad para expresarse y, al mismo tiempo, una experiencia formativa. A través de la creación de contenidos y el trabajo en equipo, se desarrollan competencias clave como la comunicación, el pensamiento crítico, la competencia digital, la creatividad y la responsabilidad, convirtiendo la revista en un verdadero espacio de aprendizaje activo y significativo.
En cada edición, Impacto Súbito ofrecerá contenidos diversos: noticias, artículos de opinión, creaciones de diferente naturaleza, entrevistas, reseñas culturales, proyectos del aula, reportajes, actividades del centro, nuevas iniciativas, reflexiones sobre temas actuales, y mucho más. Queremos que esta revista sea tan plural y viva como nuestro instituto, y que refleje la riqueza de voces que lo habitan. Invitamos a toda la comunidad a participar, a leer, a opinar y, sobre todo, a hacer suya esta revista. ¡Bienvenidos a sus páginas!
EDITORIAL
Presentamos el primer número de Impacto Súbito. Revista Digital del IES Joaquín Turina, una publicación realizada por y para la Comunidad Educativa del IES Joaquín Turina, pero abierta a todo el mundo.
En primer lugar queremos agradecer la buena acogida que ha tenido esta publicación por parte del profesorado y su alta y positiva participación. Además, también agradecemos su colaboración al alumnado participante.
En segundo lugar esperamos que le guste a sus lectores y que podamos fidelizarlos.
En tercer lugar queremos desear una larga vida a esta revista y que se integre bien en la Comunidad Educativa de nuestro centro.
Gracias a las nuevas tecnologías, podemos realizar una publicación de calidad, sin un coste económico elevado. Esto nos permite incluir interesantes contenidos tanto en forma como en fondo.
Desde el equipo editorial animamos a toda la comunidad educativa a formar parte activa de este proyecto. Esta revista es un espacio abierto a la creatividad, la reflexión y el intercambio de ideas. Vuestras colaboraciones son esenciales para que esta publicación crezca y refleje la riqueza y diversidad de nuestro instituto.
¡Contamos contigo!
SUMAR
| 06 | Aprender Ciencia más allá de las aulas Elena García Ayllón y Alicia Anaya Ramírez |
| 18 | Entrevista al profesor Francisco Martínez M.ª del Carmen Lachica Aguilera |
| 24 | Problemas de la IMO Roberto del Amo Corredera |
| 25 | Intercambio lingüístico con el IES Virgen de las Nieves (Granada) Lucía Zamora Rodríguez |
| 28 | Seguros para jóvenes. ¿Realmente los necesitamos? Ignacio Chozas León |
| 31 | Del Agotamiento Crónico a la Resiliencia Cerebral: El Impacto Neurocientífico de las Mejoras en las Condiciones Laborales Noelia María Querino Panigua |
| 35 | Sombras de un pasaje Rosana Balastegui Galván |
ARIO
| El latido de las lenguas clásicas, pilares de nuestra lengua Virginia Fernández Leal |
40 |
| ¡Arranca la Liga de Fútbol Sala del IES Joaquín Turina Manuel Delgado Pérez |
42 |
| Detrás del miedo Elena Alonso Cabello |
46 |
| El arte de combinar Lorena García Cobos |
47 |
| El ruido en el IES Joaquín Turina: una amenaza silenciosa para el aprendizaje Marcos Rodríguez Sánchez |
51 |
| El sentir del miedo Rosana Balastegui Galván |
57 |
| Unidad 0 Elena Alonso Cabello |
60 |
| Proyecto CripTurina Jesús M. Muñoz Calle |
66 |
Ciencia
Durante los dos primeros meses del curso, los departamentos de Física y Química y de Tecnología hemos desarrollado un conjunto de actividades orientadas a acercar la ciencia, la ingeniería y la innovación al alumnado de nuestro centro.
Estas iniciativas han coincidido, además, con la celebración de la Semana de la Ciencia, que tiene lugar del 3 al 16 de noviembre, un momento idóneo para poner en valor el pensamiento científico, la curiosidad y la experimentación.
A) Café con Ciencias: dialogando sobre inteligencia artificial y creatividad.
Entre las actividades más enriquecedoras destaca la participación del alumnado de 2º de Bachillerato en el encuentro “Café con Ciencias”, organizado por la Universidad de Sevilla. Este formato permite a los estudiantes conversar de manera cercana y directa con científicos y científicas de distintas áreas, conocer sus experiencias personales y comprender qué significa dedicarse a la investigación en la actualidad.
En este encuentro se trataron dos grandes temáticas que comentamos a continuación:
Impacto Súbito 2025/Año 1, núm. 0
1. Inteligencia artificial y creatividad humana
Los investigadores explicaron cómo la IA generativa está transformando los procesos creativos. A través de ejemplos reales, el alumnado descubrió cómo artistas y diseñadores pueden utilizar estas herramientas como apoyo para explorar ideas, probar estilos o agilizar parte del proceso creativo.
Se destacó una idea clave: la inteligencia artificial no sustituye la creatividad humana, sino que actúa como una herramienta colaborativa que abre nuevas posibilidades. Este mensaje llevó a un interesante debate sobre el papel de la tecnología en el futuro profesional de las artes y las ciencias.
En las siguientes imágenes se muestran algunos instantes de reunión.


Impacto Súbito 2025/Año 1, núm. 0
2. ¿Qué ocurre cuando el cerebro enferma?
La segunda mesa redonda se centró en el cerebro y en qué sucede cuando su funcionamiento se ve afectado. Los científicos abordaron tanto las enfermedades neurodegenerativas —que aparecen habitualmente en etapas adultas o avanzadas de la vida— como las enfermedades del neurodesarrollo, entre ellas el autismo y el TDAH.

Los expertos explicaron por qué se producen estos trastornos, cómo se pueden detectar de manera precoz y qué avances existen hoy en día para su tratamiento y prevención. También se dedicó parte de la charla a hablar de hábitos que protegen el cerebro, factores que lo ponen en riesgo y la importancia de cuidarlo a lo largo de la vida.
La incorporación de herramientas basadas en inteligencias artificiales generativas, junto con el empleo de la aplicación DescartesJS y otros avances tecnológicos, ha supuesto un impulso decisivo para esta revista. Estos recursos han elevado significativamente tanto la calidad de los artículos como su capacidad para divulgar conocimiento de forma accesible, consolidando la publicación como una referencia en innovación y aprendizaje.
Impacto Súbito 2025/Año 1, núm. 0

La Casa de la Ciencia: explorando la luz y el cosmos
El alumnado de 2º de ESO disfrutó de una salida a la Casa de la Ciencia, donde asistieron a la exposición “Viajando con la luz” y a una sesión en el planetario. En esta actividad, pudieron comprender cómo la luz viaja por el universo, cómo interactúa con la materia y cómo nos permite observar fenómenos astronómicos que suceden a millones de kilómetros.
Impacto Súbito 2025/Año 1, núm. 0



Además, participaron en el taller “El Sol. Más allá de la luz”, una experiencia interactiva donde el alumnado pudo poner en práctica conceptos aprendidos en clase. Construyeron las diferentes capas del Sol, observaron sus características principales y realizaron pequeños experimentos.



Uno de los momentos más llamativos fue el uso de unas pulseras especiales que cambiaban de color al exponerse a luz ultravioleta. Al ver cómo reaccionaban al colocarlas bajo una manta UV, los estudiantes comprendieron de forma directa cómo la radiación ultravioleta afecta a nuestra piel y por qué es tan importante protegernos adecuadamente.
Impacto Súbito 2025/Año 1, núm. 0


Materiales y sostenibilidad: ciencia para entender nuestro entorno

El alumnado de 4.º de ESO y 1.º de Bachillerato de la modalidad de Ciencias realizó una visita doble. En primer lugar, a la exposición “Los materiales que nos rodean”, donde pudieron analizar la importancia de los materiales en el desarrollo tecnológico, comprender sus propiedades y apreciar cómo condicionan la creación de dispositivos, infraestructuras y productos esenciales para nuestra vida cotidiana.
Impacto Súbito 2025/Año 1, núm. 0





La segunda exposición, “¿Quiénes son las defensoras de la tierra?”, presenta historias de mujeres y colectivos que, desde Andalucía hasta el Sur Global, trabajan para proteger sus territorios de los impactos derivados de los modelos de consumo actuales. Este enfoque permitió vincular ciencia, tecnología, medioambiente y compromiso social, ofreciendo al alumnado una visión amplia y crítica de los retos que enfrentamos como sociedad.
Impacto Súbito 2025/Año 1, núm. 0


FabLab Sevilla: tecnología, diseño y fabricación digital
Finalmente, el alumnado de 4.º ESO y 1.º de Bachillerato de itinerarios científicos y tecnológicos visitó FabLab Sevilla, un espacio de fabricación digital donde la filosofía maker cobra vida.
Durante la visita se explicó en profundidad el funcionamiento de estos laboratorios, caracterizados por su diversidad de objetivos, proyectos y modelos de trabajo según el contexto local al que pertenecen.
Impacto Súbito 2025/Año 1, núm. 0


Impacto Súbito 2025/Año 1, núm. 0


Impacto Súbito 2025/Año 1, núm. 0

La segunda exposición, “¿Quiénes son las defensoras de la tierra?”, presenta historias de mujeres y colectivos que, desde Andalucía hasta el Sur Global, trabajan para proteger sus territorios de los impactos derivados de los modelos de consumo actuales. Este enfoque permitió vincular ciencia, tecnología, medioambiente y compromiso social, ofreciendo al alumnado una visión amplia y crítica de los retos que enfrentamos como sociedad.

Impacto Súbito 2025/Año 1, núm. 0
Una comunidad educativa comprometida con la ciencia
Todas estas actuaciones han tenido un impacto significativo en el alumnado, que ha podido acercarse a la ciencia desde múltiples perspectivas: la investigación universitaria, la divulgación, la experimentación activa, la reflexión ambiental y la ingeniería aplicada. Desde los departamentos implicados, seguiremos impulsando iniciativas que refuercen el aprendizaje significativo y promuevan la cultura científica en el centro. Porque la ciencia no solo se estudia: se vive, se explora y se comparte.

Impacto Súbito 2025/Año 1, núm. 0
Entrevista
Llegar a un sitio nuevo de trabajo con los vaivenes de la vida y el bagaje de las experiencias aprendidas en otros lugares, con otras gentes y con otras miradas. Te vas haciendo al sitio, a la metodología impertérrita de la educación, observando de manera minuciosa la realidad que te acoge y ahí, en ese preciso momento te posas en la mirada joven y verde translúcida que tienen los niños que quieren descubrir el mundo. Su alma es así, todo él es así, pero ese niño con ansias de conocer habita en alguien curtido de la vida y de sus necedades.
Se celebra el claustro inicial, y un nuevo curso marca el punto de partida. Hablan sobre su figura y anuncian su jubilación en breve. Se levanta, ante las miradas atentas llenas de amor de todos los allí presentes y emite un pequeño discurso de despedida ante los compañeros en el que incluso le tiemblan las manos como se ve por el papel que sostiene. La humildad que destila en su discurso advierte mi interés.
Su figura es grande, soberbia en la voz, con una barba aristotélica y una cabeza que alberga un cráneo privilegiado por lo que se destella de su complicidad entre la mirada y su lenguaje.
Impacto Súbito 2025/Año 1, núm. 0
Me dirijo a él, atraída como por un poder sobrenatural y lo avasallo en la sala de profesores. Me presento, quiero saber quién es él, preguntarle cosas y conectamos.
De manera inmediata el hilo conductor de la comunicación hace la magia y la juventud que dice sentir con los jóvenes en esta profesión me arrastra. Lo entiendo, esta profesión te contagia de la juventud. Tu cuerpo sigue envejeciendo; sin embargo, tu alma sigue siendo lozana, fresca y curiosa. Solo los sabios de espíritu saben alcanzarlo: seguir siendo jóvenes en esta profesión. Ellos usan el verbo vivir para crecer, pero en aprendizaje, en vida y ser el faro que guía a muchos de estos que empiezan a caminar.
Ese carisma es guía y luz, y como si se tratara de Delfos mi camino hacia él todos los días que le quedaban entre nosotros he querido consultar.
El saber enciclopédico, doctorado, versátil, mágico, esencialista, filosófico, literario, político, de espíritu, de vida y en definitiva él mismo ha sido una figura emblemática en el IES Joaquín Turina.
Aquellos que hemos tenido el privilegio de vivirlo somos ricos. Su adjetivos en la evaluación han dado notas de altura moral; sus sustantivos categóricos con una sonrisa de soslayo construyen mensajes de alto espectro que cautivan a los más curiosos y a los más sabios. Su labor incalculable con esta profesión , en la que deja más de un impulso a ser mejor persona en todos los que han estado en sus aulas. Sus pasos cortos pero seguros llenos de saber por mejorar cada día. Sus clases llenas de alumnos que lo quieren desde el primer día hasta el último, en el que la sala de música se llenó de antiguos alumnos para despedirlo. Él es Paco Martínez Pérez, no un maestro, sino El maestro.
Impacto Súbito 2025/Año 1, núm. 0

P: ¿Dónde naciste? ¿Te sientes de ese sitio o tu vida ha sido de otro lugar?
Nací en Sevilla –a las ocho de la mañana de un día de primavera– a escasos tres kilómetros del lugar en el que algunas décadas después se levantaría el edificio de nuestro Turina. Así que al incorporarme a él, en cierta manera volví al sitio inicial de mi vida. Pero, por otra parte, al ser mis padres gallegos y haber pasado los veranos de mi niñez en una rural y marítima aldea de A Coruña (maravillosa en mi recuerdo) siempre me he sentido también habitante sentimental de aquel paraíso infantil. Por ello podría decirse que tengo una doble filiación geográfica: una próxima y real, y otra añorada e imaginaria.
P: ¿Por qué esa capacidad de ver más allá de las personas y de la vida de algunos?
R: Voy a responder platónico-filosóficamente (como no podría ser de otra manera): Porque se apodera de ellos un extraño impulso de expansivo asombro.
P: ¿Qué te han dado los libros?
R: Diría que casi todo (mi vida me resultaría inconcebible sin ellos), pero con un “casi” desde luego gigantesco: es decir, exceptuando todo aquello que constituye, en la vivencia esfera interpersonal, lo que valoro como más importante y profundo: la atención, la ayuda, la amistad y el amor, mis regalaros preferidos.
Impacto Súbito 2025/Año 1, núm. 0
P: ¿Por qué Borges? ¿Qué luz te arrojó la ceguera más prodigiosa de las letras?
R: La lectura a los veinte años de la prodigiosa obra de Borges (tanto la poesía como la prosa y el ensayo) marcó para siempre mi vida, ya que la deslumbrante intensidad de sus palabras no ha dejado de fascinarme desde entonces. Leer a Borges constituye para mí algo parecido a la celebración de una ceremonia existencial.
P: ¿Tu gran amor?
R: No hay duda alguna: la mujer con quien comparto la vida desde hace más de cuarenta años. Sin su inteligencia y acogedor cariño seguro que habría habitado infelizmente en las nubes, en la Luna o en una galaxia lejana.
P: ¿Qué es el IES Joaquín Turina para ti?
R: Además del profesional destino final durante nueve años, ha sido para mí un espacio cercano en el que todos (compañeros, alumnado y personal de administración y servicios) me han hecho sentirme querido y útil.
P: ¿Qué te ha aportado a ti la enseñanza?
R: Primero, constatar de modo irrebatible el adagio que advierte de que “enseñar es aprender dos veces” (ello me ha permitido continuar siendo en todo momento un aprendiz empedernido); segundo, poder participar en la cooperativa trascendental tarea social de la educación (junto a la sanidad, la piedra angular básica del ámbito convivencial humano); tercero, el permanente y enriquecedor contacto con la juventud (¡qué hubiera sido de mí sin sus contagiosas autenticidad, vitalidad y fortaleza!); y cuarto, algo impagable: la sensación habitual de ser comprendido y estar acompañado.
Impacto Súbito 2025/Año 1, núm. 0
P: ¿Qué crees que dejas en la educación tras tu paso por ella?
R: Me gustaría pensar que el haber podido activar en los alumnos –en el desarrollo del complejo proceso del aprendizaje– el despliegue colaborativo de sus potencialidades tanto actitudinales como cognitivas, procurando a la vez infundirles la confianza en sí mismos y el convencimiento de que la realidad suele admitir de modo imprevisible la realización de los sueños ¡si humildemente se le insiste!
P: ¿Qué hay en este centro que no hayas encontrado en los demás?
R: Un estimulante entorno muy familiar, lleno de naturalidad y afecto, por el cual debo mostrar el más sincero agradecimiento.
P: ¿Nos envejece o nos rejuvenece la enseñanza en las aulas y por qué?
R: Lo he adelantado antes: ¿Qué sería de nosotros –seres en continuo y desgastante tránsito– sin el aporte de su portentosa y renovadora energía vital?
P: El hito más prodigioso en tu vida.
R: Creo que afortunadamente han sido muchos, pero por compendiar voy a seleccionar tres. Uno de niño: mi madre enseñándome –sentado en su regazo– a leer y escribir. Otro de joven: el haber sido salvado por un desconocido (cuya cara no olvidaré nunca) de morir ahogado a las dos y media de la tarde de un día de verano en una playa gaditana. Y, por último, uno de adulto: la visita al impactante interior de la Gran Pirámide de Keops.
Impacto Súbito 2025/Año 1, núm. 0

P: ¿Por qué ser profesor?
R: Mirando hacia atrás, no considero que hubiera podido ser, con convencimiento y continuadamente, ninguna otra cosa.
P: En tu prosa El mensaje, Revista de Filosofía, hablas sobre la atracción de las miradas de las fotografías antiguas, ¿sigue lo antiguo patente en ti? ¿Crees que al crecer, nos alejamos de lo que somos en esencia o bien, por el contrario, ampliamos ese yo?
R: Los objetos del pasado, y muy especialmente las fotografías antiguas, nos avisan –digámoslo así– de que en la vida hay que aprovechar el tiempo sin gastarlo demasiado en vano, convirtiéndola de ese modo en una abierta aventura exploratoria que suponga concebir y conquistar juntos ampliaciones lúcidas del mundo y de nosotros mismos. Para conseguirlo, el presente es lo único seguro con lo que podemos contar, debiendo conservar necesariamente en él lo mejor del pasado y construir desde él lo mejor del futuro.
P: La pasión más escondida que tienes.
R: La inalcanzable ambición –ya puesto– de llegar a saber “la verdad, toda la verdad y nada más que la verdad” de ¡esto!
P: ¿El amor es para toda la vida?
R: Los auténticos y recíprocos ¡posiblemente sí!
Impacto Súbito 2025/Año 1, núm. 0
Ciencia
La Olimpiada Internacional de Matemáticas (IMO por sus siglas en inglés) se lleva realizando desde 1959, siendo la primera edición en Rumanía.
Inicialmente fue fundada para los países de Europa del Este miembros del Pacto de Varsovia, bajo el bloque de influencia de la URSS, pero gradualmente se extendió a otras naciones.
Destinada a participantes preuniversitarios, cualquier persona con conocimientos básicos de matemáticas debe comprender los problemas, incluso si las soluciones requieren mucho más conocimiento.
En la revista propondremos un problema en cada número, ¿te atreves a intentarlo?
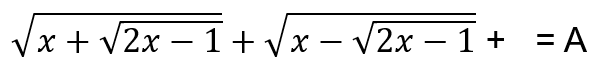
¿Para qué valores reales de x se cumple?

Resuelve para:
(Problema 2 de la primera Olimpiada internacional de Matemáticas, Brasov, Rumanía 1959).
Impacto Súbito 2025/Año 1, núm. 0
Buenas prácticas
El cambio del colegio al instituto es un gran cambio para todos los adolescentes. Adaptarse a nuevos ritmos de aprendizaje y a las exigencias de la etapa secundaria no siempre es fácil para ellos. Nervios, ganas, ilusión, sueños por cumplir, miedos y vergüenzas… son sentimientos que todos los alumnos experimentan al pasar de etapa. Al principio, les suele costar más abrirse y participar en una clase en la que no siempre conocen a sus compañeros/as de años anteriores y a sus profesores/as. En la asignatura de inglés, este problema se agrava aún más, ya que su timidez (en la mayoría de los casos) no les permite abrirse y practican solo por obligación.
Es por ello por lo que este curso, nuestro alumnado de 1º ESO va a realizar un intercambio lingüístico con el alumnado de 1ºESO del IES Virgen de las Nieves (Granada). Este proyecto pretende potenciar el uso de la lengua inglesa y mejorar sus destrezas comunicativas en dicho idioma. La idea de realizarlo con otro instituto español en lugar de con otro centro educativo de un país anglosajón se debe al hecho de que la gran mayoría de los adolescentes, sobre todo, en estas edades tempranas, sienten mucha vergüenza cuando tienen que expresarse tanto en su propia lengua como en inglés.
Impacto Súbito 2025/Año 1, núm. 0
Tienden a frustrarse si no entienden algo o a callarse si ven que su interlocutor tiene un nivel más avanzado que ellos/as mismos/as y su miedo a fallar crece considerablemente. Es por ello por lo que consideramos que practicar con sus coetáneos paisanos españoles puede mejorar el uso de la lengua inglesa; ya que se pueden motivar al ver que en otro instituto, niños y niñas de su edad también tienen un nivel similar al suyo y que entienden la información que se les transmite. En definitiva, podrían conseguir comunicarse, que es el objetivo principal de una lengua.
Para llevar a cabo este intercambio, hemos pensado en una serie de actividades que se pretenden realizar a lo largo del presente curso académico 2025/2026; desde octubre hasta mayo. El desarrollo de estas tareas siempre será el mismo: primero, se les da un modelo de lo que pretendemos hacer, lo hacen en clase, se corrigen y pasan a limpio, y se envían al Virgen de las Nieves.
Algunos ejemplos de las propuestas son: escritura y decoración de cartas, creación de vídeos presentándose, diseño de pósters (tanto físicos como digitales) sobre distintos temas que vayamos estudiando a lo largo del curso (lugares en mi ciudad, actividades del tiempo libre, gustos y preferencias, reseñas de libros…), creación de juegos online tipo Kahoot para comprobar qué han comprendido del material que le hayamos enviado previamente… Todos estos productos finales que nosotros enviaremos, los recibiremos de la misma manera por su parte; por lo que se trabajaran tanto destrezas de producción (writing y speaking principalmente) como de comprensión (reading y writing). Y, finalmente, tendremos un intercambio presencial para conocernos en persona y para poner en práctica todo lo trabajado durante el curso, potenciando especialmente la destreza de mediation.
Impacto Súbito 2025/Año 1, núm. 0
Este intercambio presencial se llevará a cabo en el mes de mayo, tanto en Sevilla (nosotros como anfitriones) como en Granada (como visitantes). Además de pasar una bonita y entrañable jornada juntos, conociendo y trabajando en los respectivos institutos; también nos gustaría poder visitar ambas ciudades y mostrarlas a nuestros ya, para esa fecha, amigos/as de Granada.
Esperamos que podamos cumplir todos los objetivos planteados en septiembre tanto a nivel académico como personal: que se diviertan a la vez que aprendan, que mejoren sus habilidades en inglés, que se abran a conocer a nuevas personas y que descubran que no hay que tenerle miedo a lo desconocido. Ojalá esta experiencia sea la primera de muchas más que nos queden por vivir.

Buenas prácticas educativas. Intercambio lingüístico en lengua inglesa.
Impacto Súbito 2025/Año 1, núm. 0
Opinión
Cuando somos jóvenes solemos pensar que los seguros son “cosas” de adultos, de personas que tienen una casa, hijos o muchas responsabilidades que nada tienen que ver con nosotros. Sin embargo, ¡vivir sin preocupaciones no significa vivir sin precaución! Ninguno de nosotros está libre de sufrir un accidente, una enfermedad o una pérdida material.
Hoy en día, existen muchas opciones de seguros pensadas especialmente para jóvenes, con precios más accesibles y coberturas adaptadas a nuestro estilo de vida. Reflexionar sobre ellos es una señal de madurez, toma de conciencia y cuidado de uno mismo, incluso si todavía estamos en una etapa de descubrimiento.
Uno de los seguros más recomendados para jóvenes es el seguro de salud. Aunque a nuestra edad las enfermedades graves son poco comunes, tener acceso rápido a consultas médicas, revisiones o urgencias sin depender de largas listas de espera puede marcar la diferencia. Además, muchos seguros incluyen video consultas o cobertura médica en el extranjero, lo cual resulta muy útil para quienes viajan o estudian fuera. Contratar uno de estos tipos de seguros siendo joven suele ser más económico, ya que el riesgo para la aseguradora es menor.
Impacto Súbito 2025/Año 1, núm. 0

También existen los seguros de vida o de protección financiera. Puede resultar exagerado pensar en eso a los veinte años, pero en realidad hacerlo temprano tiene ventajas. Entre otras, las primas son más baratas y las condiciones suelen ser más flexibles. No se trata de pensar en la muerte, sino en la tranquilidad de saber que, si algo nos ocurre, dejamos cubiertos algunos gastos o protegemos a quienes dependen de nosotros y más queremos. Es una manera de asumir responsabilidad y prever el futuro con inteligencia.
Otro tipo importante para los más jóvenes es el seguro de coche o moto. En este caso somos perjudicados por nuestra escasa experiencia como conductores, nuestro riesgo es mayor, y pagamos una cantidad más elevada. Si bien es cierto que algunas aseguradoras ajustan la prima según nuestro comportamiento al volante, premiando la conducción responsable.
Impacto Súbito 2025/Año 1, núm. 0
Resulta interesante mencionar en este artículo el aumento de seguros “personalizados” o “a la carta” en los últimos años. Se trata de seguros que permiten elegir exactamente lo que queremos cubrir y pagar solo por eso. Esta modalidad se adapta muy bien al estilo de vida actual, en el que los jóvenes valoramos la flexibilidad y la comodidad. Te ofrezco un ejemplo que seguro ayuda a comprender lo que trato de decir. Un seguro de móvil cubre únicamente el riesgo que pueda sufrir este dispositivo por su valor. La idea es tener protección sin pagar de más.
Ahora bien, todo lo relacionado con los seguros no son factores positivos y que llamen nuestra atención. Reflexionando sobre ello, también hay que reconocer los “peros”. Algunos seguros pueden representar un gasto innecesario si todavía vivimos con nuestra familia, no tenemos vehículo propio o no realizamos actividades de riesgo. A veces la sanidad pública o el apoyo familiar pueden cubrir nuestras necesidades inmediatas. Por eso, antes de contratar, es importante analizar la situación personal y comparar opciones para no gastar dinero sin necesidad.
Aun así, contar con algún tipo de seguro básico es una forma de independencia. No se trata sólo de evitar problemas, sino de demostrar que valoramos nuestro bienestar y el de los demás. Pensar en la seguridad no debería verse como algo aburrido, sino como un paso natural hacia la madurez. En definitiva, los seguros no son un lujo, sino una inversión en tranquilidad y prevención.
Desde mi punto de vista, los jóvenes sí necesitamos seguros, aunque no todos ni de cualquier tipo. No hace falta contratar diez pólizas ni gastar más de lo necesario, pero sí es inteligente tener al menos una cobertura básica que se adapte a nuestras circunstancias. Vivir el presente es importante, pero hacerlo con responsabilidad lo es aún más. Un seguro no te quita libertad, te la da, porque te permite disfrutar con la seguridad de estar preparado para lo inesperado.
Impacto Súbito 2025/Año 1, núm. 0
Trabajo didáctico
Las mejoras en las condiciones laborales, desde la Revolución Industrial hasta la actualidad, han tenido un impacto positivo en el cerebro de las personas, principalmente al reducir el estrés crónico y promover el bienestar de la sociedad.
Aunque durante la Revolución Industrial factores como largas jornadas, poco control sobre las tareas y los desplazamientos agotadores se consideraban normales y adecuados, hoy día sabemos que ello conduce a una elevación en la producción de cortisol en el cerebro, principal hormona del estrés, poniendo al cuerpo en estado de alerta, pudiendo provocar a largo plazo el llamado síndrome de Burnout o síndrome de agotamiento crónico.

Cuando el cerebro percibe una amenaza continua —en este caso, un trabajo que consume todos los recursos sin dar un respiro—, activa el sistema de respuesta al estrés.
Impacto Súbito 2025/Año 1, núm. 0
A diferencia de un estrés puntual, en el burnout esta respuesta no se apaga, lo cual provoca un profundo deterioro físico, mental y emocional que afecta la química cerebral de forma significativa: daña el Lóbulo Frontal (afectando la toma de decisiones y la concentración), reduce el volumen del Hipocampo (causando pérdida de memoria y "niebla cerebral"), hiperactiva la Amígdala (aumentando la irritabilidad y la ansiedad) y agota neurotransmisores clave como la Dopamina y la Serotonina (llevando a la pérdida de motivación y depresión).

Además de la mente, con el paso del tiempo este estrés crónico lleva al cuerpo a padecer de enfermedades físicas tales como problemas cardíacos, problemas en el sistema inmunológico, provocando la facilidad de coger enfermedades, y tensión muscular, lo cual también de forma constante puede causar dolores de cabeza tensionales, dolor de espalda, cuello y migrañas.
Por lo tanto, el burnout es una respuesta biológica al estrés crónico. Un entorno laboral rígido y sin flexibilidad actúa como un catalizador, llevando al cerebro a un estado de agotamiento neuroquímico que es difícil de revertir sin cambios significativos, lo cuál era prácticamente imposible en aquella época.
En contraste, las mejoras progresivas como la reducción de la jornada laboral a 8 horas, la flexibilidad laboral y el enfoque en el bienestar del empleado, han tenido un efecto reparador.
Las condiciones de trabajo optimizadas —caracterizadas por jornadas reducidas y un enfoque más humano— han logrado una disminución significativa del estrés y el agotamiento.
Impacto Súbito 2025/Año 1, núm. 0
Esto se debe a la reducción directa de los niveles de cortisol, lo que se traduce en una mejor salud mental, menor ansiedad y protección contra el daño neuronal.
A nivel cerebral, la neurociencia confirma que factores como el reconocimiento, la autonomía y las interacciones sociales positivas estimulan el sistema de recompensa, impulsando la liberación de dopamina. Este mecanismo no sólo contrarresta el impacto negativo del estrés, sino que también fomenta la motivación, la creatividad y un fuerte sentido de pertenencia.
Además, un entorno que favorece el aprendizaje y el desarrollo profesional promueve activamente la neuroplasticidad, fortaleciendo la capacidad del cerebro para formar nuevas conexiones y mejorar las habilidades cognitivas y de adaptación.

Finalmente, la reducción del estrés contribuye a la estabilidad de otros neurotransmisores cruciales: la dopamina, potenciada por la autonomía en la organización del trabajo, aumenta la productividad; y la serotonina, favorecida por un ambiente laboral flexible y positivo, asegura una mejor regulación del estado de ánimo, la autoestima y las relaciones interpersonales.
En resumen, la mejora de las condiciones laborales ha impactado positivamente la salud integral de los trabajadores, reduciendo las enfermedades psicológicas y las patologías físicas asociadas al estrés crónico.
Impacto Súbito 2025/Año 1, núm. 0
Si bien no se elimina por completo el riesgo, el aumento del tiempo libre y el disfrute personal actual contribuyen al desarrollo neuronal y fortalecen la salud mental y física.
Este conocimiento, ausente en épocas pasadas, nos obliga a valorar los avances logrados y a seguir buscando nuevas mejoras para el bienestar. Finalmente, es fundamental que la conciencia social se complemente con la responsabilidad individual para aprender a gestionar el estrés en todos los ámbitos de la vida, promoviendo así las condiciones neuroquímicas necesarias para un cerebro más sano y resiliente.

Impacto Súbito 2025/Año 1, núm. 0
Rincón artístico


Desde comienzos del mes de octubre, el alumnado que cursa Expresión Artística ha trabajado en equipo, en la creación de un gran proyecto artístico titulado “Sombras”.
Durante varias semanas, se pidió la colaboración de todos los que forman la vida del centro en la recolecta de cartones, tejidos, botellas, así como elementos que pudieran interesarnos.
Han sido muchas horas de trabajo en silencio, sin descanso y a escondidas (para mantener la sorpresa) de todo el atrezo que formaban parte del proyecto: pociones de brujas, arañas con enormes patas, huellas que marcan un camino, enormes plantas carnívoras que acechaban, enormes ojos que se cocían en un caldero, o un gran árbol cuyas ramificaciones se extendían más allá de lo imposible…
Impacto Súbito 2025/Año 1, núm. 0


La naturaleza nos ofreció el olor y textura que buscábamos para recrear ese bosque encantado de “Sombras” y así seguimos trabajando, ocupando poco a poco el espacio asignado, para el gran día.
El gran trabajo en equipo se realizó, se reflejaba en la separación de los espacios y colocación de los elementos en las diferentes escenas que se encontraba en el interior.
Impacto Súbito 2025/Año 1, núm. 0

Días previos al pasaje, se le ofreció al alumnado una serie de pruebas para crear expectación e introducirlos en el contexto de la historia en varios idiomas, trabajándose en el aula.
Muchos salieron despavoridos, otros no llegaron a entrar, pero todos pudieron exponer, comentar y reflexionar sobre sus emociones vividas.


Impacto Súbito 2025/Año 1, núm. 0


Impacto Súbito 2025/Año 1, núm. 0
Las emociones vividas en el proyecto han sido una parte importante en ese mes intenso de creación, donde la responsabilidad de conseguir el objetivo y llegar a una fecha concreta, así como el gran trabajo en equipo organizado y en silencio, han sido clave para que el ruido causado haya sido tan positivo.
Desde estas líneas me gustaría agradecer a mi alumnado por confiar y dejarse guiar en estas propuestas con entusiasmo y dedicación, cualidades tan importantes, y a la vez necesarias en la vida.

¡Hasta la próxima!

Impacto Súbito 2025/Año 1, núm. 0
Actualidad
Es una actividad realizada con el alumnado de Ampliación de Cultura Clásica de 4º de ESO A y B en el mes de noviembre, ha tenido por objeto su primera toma de contacto con el latín y el griego y una reflexión sobre cómo estas sostienen nuestra lengua, nuestra manera de pensar y nuestra cultura. Por ello, este artículo-exposición fotográfica reivindica la vigencia atemporal de las lenguas clásicas, no como vestigios del pasado, sino como pilares vivos de nuestra identidad lingüística y cultural.
Como se puede ver en las fotos, esta actividad ha ofrecido al alumnado, no sólo al que cursa la asignatura, sino también a todos los que durante el recreo se pararon en las palabras-pilares, la oportunidad de establecer un diálogo profundo entre presente y pasado desde la perspectiva de nuestra lengua, en la que late, unas veces de forma callada y otras de forma escandalosa, la lengua de nuestros antepasados griegos y romanos.
Tomar conciencia de esta herencia directa invita a la reflexión sobre las palabras con las que expresamos y experimentamos el mundo que conocemos y el significado que otorgamos a nuestra realidad. También resulta especialmente interesante para observar desde un juicio crítico nuestro cambiante presente en constante evolución.
Red Descartes 2025/Año 1, núm.0

Impacto Súbito 2025/Año 1, núm. 0
Deportes
Pasión, compañerismo y emoción en cada minuto.
El IES Joaquín Turina vuelve a vibrar. Tras semanas de preparación, nervios y entusiasmo en los pasillos, llevamos ya un mes de la Liga de Fútbol Sala del centro, una competición que promete intensidad, espectáculo y mucho espíritu deportivo.

Impacto Súbito 2025/Año 1, núm. 0
Esta liga no es solo un torneo. Es el resultado del esfuerzo, compromiso e ilusión de los alumnos de 4º de ESO, que han organizado cada detalle con un nivel de profesionalidad sorprendente: desde la gestión de los equipos, hasta la creación del calendario, pasando por la gestión de la liga en la web y la puesta a punto de la pista los días de lluvia.
A ellos se suman los árbitros, también estudiantes de 4º de ESO y Bachillerato, que se encargarán de garantizar el juego limpio y la emoción de cada encuentro rellenando las actas para que todo esté bien controlado.

Impacto Súbito 2025/Año 1, núm. 0
Siete equipos, un mismo sueño

Con siete equipos inscritos, con integrantes de todos los cursos,la igualdad está servida, desde la ilusión del equipo de promesas de 1º de ESO los “Esmayaos FC” con su estrella femenina África Ávila, hasta los líderes actuales “Los leones de Montepinar” comandados por su “Pichichi Iván Sierra”. Cada conjunto llega con su propio estilo de juego, sus estrellas emergentes y su estrategia particular. Y aunque todos sueñan con levantar el trofeo, solo los cuatro primeros de la fase regular conseguirán el ansiado pase a los playoffs, donde ya no valdrá empatar: será ganar… o quedar fuera.

Los partidos son una auténtica fiesta cada recreo: gradas expectantes, compañeros animando, tensión en el marcador y jugadas que darán de qué hablar durante días. ¿Quién será la revelación del torneo? ¿Quién firmará la remontada imosible? ¿Cómo responderán los favoritos ante la presión? ¿Quién se llevará las CripTurinas?
EL FAIRPLAY también tiene premio.
Impacto Súbito 2025/Año 1, núm. 0
Más que deporte
Además de goles y paradas memorables, esta liga representa algo más profundo: trabajo en equipo, responsabilidad, convivencia y superación personal. Cada alumno implicado demuestra con su dedicación que el deporte escolar es una herramienta poderosa para unir, motivar y construir comunidad.
El IES Joaquín Turina se prepara para vivir semanas llenas de adrenalina, emoción y buen fútbol sala.
La liga está en marcha… y solo acaba de comenzar lo mejor.
¡Que ruede el balón en el TURINA! ⚽🔥

Impacto Súbito 2025/Año 1, núm. 0
Inteligencia Emocional

Red Descartes 2025/Año 1, núm.0
Buenas prácticas
En nuestra práctica docente es habitual reflexionar sobre la manera más idónea de enseñar a nuestro alumnado. Debatimos con compañeros/as sobre los métodos, instrumentos y herramientas usadas, compartiendo nuestras experiencias, cuestionándonos cuáles funcionan y cuáles no, cuáles son las más adecuadas y por qué. Esto puede llevarnos a una pregunta: ¿por qué enseñar siempre de una única manera? O, mejor aún, ¿por qué no mezclar las distintas formas de enseñar?

El contexto educativo actual ofrece una amplia variedad de metodologías, abriéndonos múltiples caminos para alcanzar un mismo objetivo: Aprendizaje Basado en Proyectos (ABP), Aprendizaje Basado en Retos (ABR), Aprendizaje Basado en Juegos (ABJ), Gamificación, Aprendizaje Basado en Problemas (ABPr), Design Thinking, Aula Invertida (Flipped Classroom) ...etc. Sin embargo, si además de su uso individual, nos centramos en buscar y hallar la combinación estratégica de varias de ellas, el proceso de aprendizaje se transforma en algo más eficiente, dinámico y significativo.
Red Descartes 2025/Año 1, núm.0

No se trata de usar distintos métodos sin un sentido claro, sino de seleccionarlos y combinarlos de manera consciente hasta lograr la mezcla metodológica que mejor se adapte a la sección de trabajo en cuestión. Esta combinación dependerá de las características del grupo, la complejidad de los contenidos, el tiempo disponible o incluso el momento del día. Si, además, le incorporamos el uso de diferentes herramientas -digitales y no digitales-, el impacto se multiplica, obteniendo resultados mucho más potentes.

Por ejemplo, en mi módulo de Itinerario personal para la Empleabilidad, cuando los contenidos son extensos o menos atractivos, como ocurre con las señales de prevención, opto por combinar el Aprendizaje Basado en Juegos (ABJ) con una prueba virtual en Kahoot, Socrative o Quizizz, junto con la Gamificación a través de un “Bingo de las señales” inspirado en el juego tradicional. Finalmente, incorporo al proceso un Aprendizaje Basado en Retos (ABR) donde el alumnado organizado en equipos debe localizar y verificar las señales reales presentes en el Centro.
Red Descartes 2025/Año 1, núm.0


El haber aprendido un mismo contenido desde tres perspectivas diferentes, un mismo conocimiento mediante de tres enfoques distintos, ofrece múltiples ventajas, como pueden ser:
En definitiva, en el arte de combinar reside gran parte de la riqueza educativa, potenciando tanto al alumnado como al docente. Como señaló Albert Einstein: "Si quieres resultados diferentes, no hagas siempre lo mismo".
Red Descartes 2025/Año 1, núm.0



Red Descartes 2025/Año 1, núm.0
Ciencia
Cuando suena el timbre de las 11:00, el IES Joaquín Turina se transforma. Las conversaciones explotan en los pasillos, las sillas bailan sobre el suelo, las puertas se abren y se cierran una y otra vez, alguien grita un “¡profe, espere!” al fondo del vestíbulo… Todo eso forma parte de la vida del centro. Pero ¿en qué momento ese sonido de “vida” se convierte en ruido que perjudica la salud y el aprendizaje?
Desde 2018, en el Departamento de Biología y Geología hemos decidido dejar de guiarnos solo por la sensación (“aquí hay mucho jaleo”) y empezar a hablar con datos. De ahí nació el proyecto “Turina = Menos Ruido, Más Calidad”, que ha convertido el ruido en objeto de estudio científico… y también en excusa para repensar cómo queremos que suene nuestro instituto.
Del “qué escándalo” al mapa de ruido
El primer gran paso fue el estudio de contaminación acústica de 2018, en el que un grupo de profesorado y alumnado se lanzaron a medir el sonido en casi todos los rincones del centro.
Red Descartes 2025/Año 1, núm.0
Se utilizaron sonómetros profesionales y aplicaciones móviles para registrar el nivel de presión sonora (en decibelios, dB) en aulas, laboratorios, pasillos, patios y zonas de entrada y salida.
Durante diez semanas se tomaron medidas en diferentes tramos horarios: clases, recreos, cambios de clase y salidas del centro.
En total, 4.000 minutos de mediciones repartidos en 25 puntos de un total de 32 espacios del IES. Con esos datos se elaboraron varios mapas de ruido que mostraban, de un vistazo, qué zonas eran más problemáticas según el momento del día.
Algunas conclusiones llamaron mucho la atención:
El diagnóstico fue claro: el Turina no es un centro excepcionalmente ruidoso comparado con otros, pero sí moderadamente ruidoso, con zonas y horarios en los que el ruido se dispara y puede llegar a comprometer la salud y la calidad del aprendizaje.
Red Descartes 2025/Año 1, núm.0
¿Por qué tanto ruido… importa?
Podríamos pensar: “Bueno, es un instituto, es normal que haya ruido”.
Y sí, hasta cierto punto lo es. Pero la evidencia científica y las propias recomendaciones de la Organización Mundial de la Salud (OMS) indican que la exposición prolongada a niveles altos de ruido no es inocua: se asocia con problemas de concentración, estrés, fatiga, dificultades de comunicación oral, trastornos del sueño y, a largo plazo, pérdida auditiva.
En el contexto educativo, estos efectos se traducen en cosas muy concretas:
El ruido no molesta a todo el mundo por igual, ni todos los días igual: influye la hora, el cansancio, el tipo de tarea, el estado de ánimo… Por eso hablamos de contaminación acústica: no solo es una cuestión de sonido físico, sino también de cómo lo sentimos y cómo nos afecta.
Red Descartes 2025/Año 1, núm.0
Nuevas mediciones, nuevas preguntas
A partir de aquel trabajo inicial, el proyecto no se quedó en un documento en un cajón y se reeditaron mediciones en dos ocasiones más obteniendo nuevos datos:
Además de medir, estos nuevos estudio proponen dar un paso más: intentando relacionar el nivel de ruido con el rendimiento académico y el bienestar del alumnado. Para ello tendríamos que:
La pregunta de fondo es muy sencilla, pero muy potente:
¿Se aprende igual en un aula a 55 dB que en una a 75 dB?
Intuitivamente diríamos que no, y la ciencia también apunta en esa dirección. Pero se quiere aportar datos propios del Turina para poder afirmarlo con fundamento.
Red Descartes 2025/Año 1, núm.0
Lo que ya hemos hecho (y lo que podemos seguir haciendo)
Todo este trabajo no tendría sentido si se quedara solo en gráficas y tablas. Por eso, desde 2018 se han ido poniendo en marcha propuestas muy concretas para combatir el ruido en el centro, muchas de ellas recogidas en el documento de recomendaciones elaborado por el Departamento de Biología y Geología.
Algunas medidas arquitectónicas y materiales:
Medidas de hábitos y cultura del centro:
Red Descartes 2025/Año 1, núm.0
Sostenibilidad también es que se nos oiga (bien)
En los últimos años hemos escuchado mucho la palabra sostenibilidad asociada a energía, residuos, agua, movilidad… Pero a veces olvidamos que también existe una sostenibilidad sonora: un entorno donde se pueda conversar sin gritar, aprender sin dolor de cabeza, explicar una clase sin terminar con la voz rota y compartir espacios comunes sin que el ruido lo invada todo.
Este proyecto nos recuerda que el silencio no es ausencia de vida, sino espacio para escuchar: al profesorado, a los compañeros, a una misma persona cuando intenta concentrarse.
Los datos recogidos y la situación actual muestran que el ruido en el IES J. Turina no es un problema inevitable, sino un reto compartido que se puede abordar con: ciencia (medidas, estadísticas, mapas de ruido), educación (tutorías, proyectos, aprendizaje-servicio) y pequeños gestos cotidianos de toda la comunidad educativa.
Quizá la próxima vez que suene el timbre y cruces el pasillo, te acuerdes de estos estudios y bajes medio tono la voz, frenes un poco la silla o cierres con cuidado la puerta. No parece gran cosa… pero, sumado a cientos de personas, puede marcar la diferencia entre un instituto ruidoso y un instituto que se escucha. Y eso, para aprender y convivir, es mucho más importante de lo que a veces parece.

Red Descartes 2025/Año 1, núm.0
Arte
Con motivo del día de Halloween, el departamento de dibujo realizó la exposición artística titulada “El sentir del miedo”, en la cual se mostraban los trabajos creativos del alumnado que cursa bachillerato artístico.
El alumnado se ha iniciado en el proceso creativo, investigando, analizando y desarrollando el mensaje emocional que se deseaba transmitir: el miedo.
Los dibujos que se podían contemplar en la exposición, eran un estudio de claroscuro sobre la expresión que refleja en el rostro, los diferentes miedos que podemos tener a lo largo de nuestra vida, invitando al espectador a reflexionar sobre ello.


Red Descartes 2025/Año 1, núm.0
Además, pudimos ver la representación técnica de unos insectos imaginarios que muestran la gran creatividad y técnica del alumnado.


Impacto Súbito 2025/Año 1, núm. 0
Por último, unas máscaras diseñadas con materiales reciclados y de influencia africana, ofrecían un ambiente inquietante en el pasillo principal, el cual conducían a una entrada misteriosa…
Las máscaras más representativas fueron elegidas para ser utilizadas y dar vida a los seres misteriosos que formaban parte de del proyecto artístico de “Sombras”.


Impacto Súbito 2025/Año 1, núm. 0
Educación
Introducción y Fundamentación
El inicio de cada curso escolar es un momento clave que abre nuevas oportunidades para trabajar aspectos fundamentales que trascienden el ámbito curricular. La escuela, como institución educativa y social, no puede permanecer ajena a la situación actual de la infancia y la adolescencia en relación con la salud mental.
Vivimos en una sociedad marcada por la inmediatez, la prisa y la presión constante de las redes sociales, donde el flujo incesante de información genera en los estudiantes una gratificación continua. Esta sobreestimulación provoca que el cerebro se habitúe a una liberación constante de dopamina, lo que se traduce en desmotivación y falta de concentración en los momentos en los que no existen dichos estímulos, como ocurre frecuentemente en el contexto escolar.
A esta situación se añaden dos problemáticas fundamentales:
Red Descartes 2025/Año 1, núm.0
Los datos recientes avalan esta preocupación. En abril de 2022, el Grupo de Trabajo Multidisciplinar sobre Salud Mental en la Infancia y Adolescencia alertó de que los casos de depresión y ansiedad en la población escolar se habían multiplicado desde 2019, y que los comportamientos suicidas habían aumentado hasta un 59 % en niños, niñas y adolescentes. Estas evidencias nos sitúan ante una crisis emocional sin precedentes que requiere una respuesta educativa decidida y sostenida en el tiempo.
Ante este contexto, la escuela debe actuar como un factor protector que incorpore la educación emocional como eje transversal dentro del Proyecto Educativo de Centro. Convertir a la escuela en un entorno emocionalmente inteligente supone transformarla en una base segura de aprendizaje, desde la cual todo el alumnado pueda desarrollarse integralmente.
Para alcanzar este propósito, el profesorado ha de reflexionar sobre su propia competencia emocional, formarse en educación emocional, aprender a detectar y prevenir dificultades y aplicar programas específicos que favorezcan el bienestar.
En este marco, la Unidad 0 surge como una estrategia pedagógica inicial, concebida para generar el clima adecuado desde los primeros días del curso. Se trata de asentar las bases de confianza, calma y seguridad que sostendrán los aprendizajes posteriores, promoviendo un espacio escolar donde la dimensión académica y la emocional convivan en equilibrio.
La Unidad 0: Espacio Seguro y Elemento de Sinergia
La Unidad 0 se entiende como un espacio de acogida y seguridad, donde el alumnado se sienta como en casa, libre para expresarse y ser él mismo.
Impacto Súbito 2025/Año 1, núm. 0
Se trata de motivar a los estudiantes a querer asistir al centro porque lo reconocen como un entorno seguro y afectivo.
Dado que pasaremos muchas horas con ellos, es fundamental conocerlos en profundidad: qué se les da bien, cuáles son sus fortalezas, cómo son como personas. Para lograrlo, es necesario brindarles seguridad y confianza, de manera que se abran y compartan sus experiencias, emociones y capacidades.
Cuando se atiende la parte emocional -activando el -cerebro límbico- la parte cognitiva se abre y conecta con el córtex prefrontal, facilitando enormemente el aprendizaje. Así, la Unidad 0 actúa como un colchón emocional y pedagógico que permite afrontar con mayores recursos los desafíos académicos y personales que surgen durante el curso.
Además, la Unidad 0 es un elemento de sinergia: integra emociones, relaciones y aprendizajes para generar cohesión en el grupo. Este espacio no solo favorece la adaptación del alumnado, sino que constituye un fundamento sólido sobre el que se asentará toda la dinámica del curso. Es, en definitiva, la raíz desde la que florecerán las experiencias de aprendizaje a lo largo del año escolar.
La clave está en cambiar la mirada docente: ver más allá de las dificultades, reconocer y resaltar cualidades positivas, y recordar constantemente a los alumnos sus capacidades. Esto implica crear nuevos hábitos de convivencia y llevar al alumnado hacia la construcción de una cultura emocional positiva que se integre en la vida diaria del aula.
Impacto Súbito 2025/Año 1, núm. 0
El profesorado, en este sentido, se convierte en un adulto referente muy importante, una figura de apego secundario para el alumnado. Esto cobra especial relevancia en el caso de aquellos niños, niñas y adolescentes que atraviesan situaciones familiares complicadas, para quienes el centro y sus docentes pueden convertirse en una auténtica tabla de salvación.
Para que la Unidad 0 sea realmente un espacio seguro, es necesario abandonar las etiquetas. Etiquetar constantemente al alumnado genera un sesgo negativo y oculta la verdadera raíz de sus conductas.
La alternativa es la escucha activa:
La parte que el profesorado puede controlar directamente es la gestión de sí mismo.
La Unidad 0 invita al docente a reflexionar sobre cómo se siente consigo mismo, para poder transmitir calma y equilibrio al aula.
Impacto Súbito 2025/Año 1, núm. 0
Uno de los principios pedagógicos que sustenta la Unidad 0 es el Efecto Pigmalión, que explica cómo las expectativas del profesorado influyen directamente en el rendimiento y la autoestima del alumnado.
El profesorado debe convertirse en reflejo de la mejor versión posible del alumnado, proyectando hacia ellos mensajes como:
El Pigmalión positivo debe ser una práctica constante, que vea en cada alumno un potencial de crecimiento y que comunique explícitamente esa visión. Por tanto, no solo se centra en crear un espacio seguro, sino en sembrar la semilla de la autoeficacia y la motivación intrínseca que acompañará al alumnado durante todo el curso.
La Unidad 0 no es una acción puntual, sino que forma parte del modelo pedagógico del centro educativo.
Impacto Súbito 2025/Año 1, núm. 0
La Unidad 0 responde a necesidades humanas esenciales en el contexto escolar:.
En definitiva, la Unidad 0 es un espacio de sinergia, regulación, confianza y seguridad compartida, donde todos los agentes educativos se predisponen a aprender, enseñar y convivir desde un estado de mayor equilibrio emocional.
A través del siguiente enlace se puede descargar la unidad 0 completa.
Impacto Súbito 2025/Año 1, núm. 0
Buenas prácticas

Red Descartes 2025/Año 1, núm.0
Se trata de un proyecto basado en la creación de una moneda virtual propia del centro que actuará como eje transversal para fomentar la mejora de la convivencia, el cuidado de las instalaciones, la mejora del rendimiento académico y la prevención del absentismo y los retrasos del alumnado. El sistema se basará en un modelo de incentivos vinculados a estos ámbitos, los cuales podrán canjearse por desayunos saludables, prioridad en la participación de actividades de los recreos activos del centro, realización de actividades complementarias y extraescolares “especiales”, así como otros beneficios y recompensas.
La implementación de este sistema de incentivos a través de una moneda virtual se fundamenta en la necesidad de dar respuesta a una serie de problemáticas detectadas en el centro, que afectan directamente a los pilares que sustentan este proyecto:
Impacto Súbito 2025/Año 1, núm. 0
Este proyecto nace con el objetivo de mejorar el contexto educativo y la convivencia en la comunidad del IES Joaquín Turina. Para ello, se ha creado una moneda virtual propia, denominada “CripTurina”, que el alumnado podrá canjear por distintos servicios, beneficios e incentivos ofrecidos por el centro.

Se trata de un proyecto piloto que se está implementando con el alumnado de Educación Secundaria Obligatoria y del Ciclo Formativo de Grado Básico. La obtención de las monedas virtuales está vinculada a un sistema de incentivos asociado a la mejora en cuatro ámbitos clave:
Cada uno de estos ámbitos cuenta con criterios específicos. Cuando el alumnado cumpla con determinadas actuaciones o logre ciertos objetivos, recibirá una cantidad concreta de CripTurinas.
Impacto Súbito 2025/Año 1, núm. 0
Las monedas virtuales podrán canjearse de forma grupal por una serie de beneficios establecidos por el centro, tales como:
La participación se realiza por clases y cada semana se actualizan los puntos de los grupos en sus diferentes categorías:

Impacto Súbito 2025/Año 1, núm. 0
En la siguiente presentación se muestra un resumen del funcionamiento del proyecto.
Pulsando sobre la siguiente imagen se puede descargar el documento que contiene el proyecto completo.
Impacto Súbito 2025/Año 1, núm. 0

¡Participa y gana!
Impacto Súbito 2025/Año 1, núm. 0